딥러닝
VAEs, GAN, Diffusion Model
yolang
2024. 6. 14. 11:00
728x90

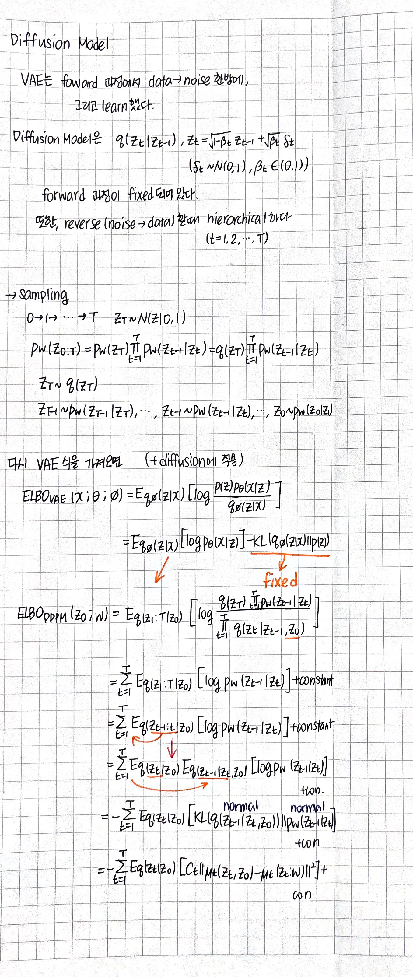
여기는 식이 시험에 나올거 같아서 다 써봤다.
VAE : Variational AutoEncoder
GAN : Generative Adversarial Nerworks
Diffusion Model


728x90