728x90

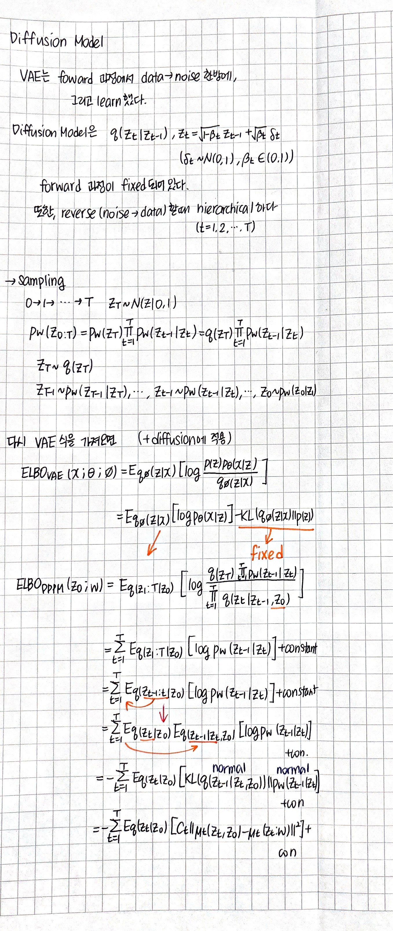
여기는 식이 시험에 나올거 같아서 다 써봤다.
VAE : Variational AutoEncoder
GAN : Generative Adversarial Nerworks
Diffusion Model


728x90
'딥러닝' 카테고리의 다른 글
| Self Supervised Learning 찍먹 (1) | 2024.06.13 |
|---|---|
| Learning Fewer Labeled Examples (0) | 2024.06.13 |
| Deep Learning 기본 내용들 (Bayes 정리, Maximum Likelihood, prior, Maximum posterior) (2) | 2024.06.13 |
| Language Deep Learning 찍먹 (2) | 2024.06.13 |
| MIT 6.S191 (2023): Convolutional Neural Networks (2) | 2024.06.07 |